积分表
的有关信息介绍如下:
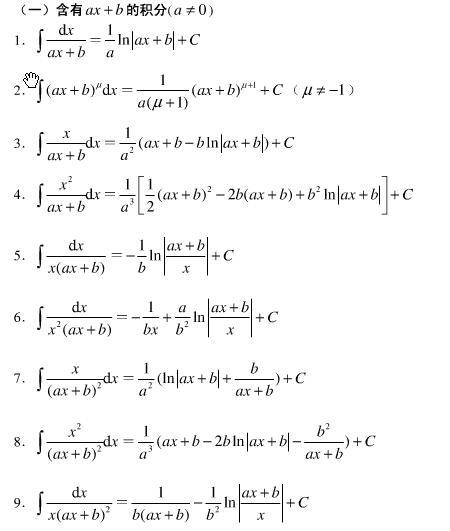
积分表是在积分计算中为了使用与方便,把常用的积分公式汇集成的一种数学用表。积分表是按照被积函数的类型来排列的。求积分时,可根据被积函数的类型直接地或经过简单变形后,在表内查得所需结果 。
想要了解更多“积分表”的信息,请点击:积分表百科

积分表是在积分计算中为了使用与方便,把常用的积分公式汇集成的一种数学用表。积分表是按照被积函数的类型来排列的。求积分时,可根据被积函数的类型直接地或经过简单变形后,在表内查得所需结果 。
想要了解更多“积分表”的信息,请点击:积分表百科