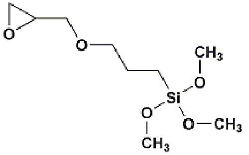
KH560
的有关信息介绍如下:
KH560可以改善用玻璃纤维粗纱增强的硬复合材料的强度性能。在调湿期后,把强度性能保持在最大程度。
增强基于环氧树脂电子密封剂和封装材料及印刷电路板的电性能,这是提高了树脂与基体或填充剂之间的粘结力而产生的。
想要了解更多“KH560”的信息,请点击:KH560百科

KH560可以改善用玻璃纤维粗纱增强的硬复合材料的强度性能。在调湿期后,把强度性能保持在最大程度。
增强基于环氧树脂电子密封剂和封装材料及印刷电路板的电性能,这是提高了树脂与基体或填充剂之间的粘结力而产生的。
想要了解更多“KH560”的信息,请点击:KH560百科