多粘菌素B
的有关信息介绍如下:
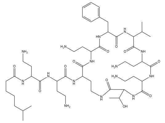
多粘菌素B是一种抗生素。对绿脓杆菌、大肠杆菌、克雷伯氏杆菌及嗜血杆菌等多种阴性菌有抑制作用,对其他抗生素耐药的菌株 ,该品也敏感 。但由于其严重的肾毒性及神经阻滞作用,仅用于烧伤合并败血症时短期抢救用,或供局部喷雾冲洗外用。此药不得静注,以免出现呼吸衰竭。该药可与生理盐水配成外用溶液。
想要了解更多“多粘菌素B”的信息,请点击:多粘菌素B百科

多粘菌素B是一种抗生素。对绿脓杆菌、大肠杆菌、克雷伯氏杆菌及嗜血杆菌等多种阴性菌有抑制作用,对其他抗生素耐药的菌株 ,该品也敏感 。但由于其严重的肾毒性及神经阻滞作用,仅用于烧伤合并败血症时短期抢救用,或供局部喷雾冲洗外用。此药不得静注,以免出现呼吸衰竭。该药可与生理盐水配成外用溶液。
想要了解更多“多粘菌素B”的信息,请点击:多粘菌素B百科