主效应
的有关信息介绍如下:
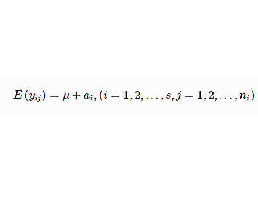
在有一个或几个因子(自变量)的多水平的实验中,描述一个因子在各水平上对反应量(因变量)影响大小的度量。对有S个水平的单因子A的试验,若随机变量 yij是在第 j次试验中于第 i个水平上的观测值,则模型为E(yij)=μ+ai,(i=1,2,...,s,j=1,2,...,ni),这里E是期望, μ是总平均, ai即A因子第 i个水平的主效应。应当注意的是,由于它在平均意义上进行估算,所以即使一个主效应的值比较小,也不表明该因子不重要;同时,在交互作用显著的情况下,对主效应的直观解释可能会发生误解。在有的实验研究中,主效应并不一定比交互作用更为重要。在实验设计中,只有主效应而不考虑交互效应的模型,称为可加性模型,这在区组设计中常常使用。
想要了解更多“主效应”的信息,请点击:主效应百科



