杀虫单
的有关信息介绍如下:
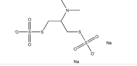
杀虫单,是一种有机化合物,分子式为C5H12NNaO6S4,分子量为333.402,白色结晶固体。具有胃毒、触杀和内吸传导作用,亦有一定的熏蒸作用。用于防治稻叶蝉、飞虱、稻苞虫、蔬菜黄条跳甲、菜青虫、梨树二叉蚜等。
想要了解更多“杀虫单”的信息,请点击:杀虫单百科

杀虫单,是一种有机化合物,分子式为C5H12NNaO6S4,分子量为333.402,白色结晶固体。具有胃毒、触杀和内吸传导作用,亦有一定的熏蒸作用。用于防治稻叶蝉、飞虱、稻苞虫、蔬菜黄条跳甲、菜青虫、梨树二叉蚜等。
想要了解更多“杀虫单”的信息,请点击:杀虫单百科