乙烯利
的有关信息介绍如下:
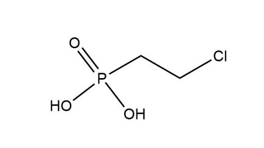
乙烯利,化学式为C2H6CIO3P,是一种有机化合物,为白色针状结晶,易溶于水、甲醇、丙酮、乙二醇、丙二醇,微溶于甲苯,不溶于石油醚。用作农用植物生长刺激剂。
乙烯利是一种优质高效植物生长调节剂,具有促进果实成熟,刺激伤流,调节部分植物性别转化等效应。
想要了解更多“乙烯利”的信息,请点击:乙烯利百科

乙烯利,化学式为C2H6CIO3P,是一种有机化合物,为白色针状结晶,易溶于水、甲醇、丙酮、乙二醇、丙二醇,微溶于甲苯,不溶于石油醚。用作农用植物生长刺激剂。
乙烯利是一种优质高效植物生长调节剂,具有促进果实成熟,刺激伤流,调节部分植物性别转化等效应。
想要了解更多“乙烯利”的信息,请点击:乙烯利百科